
据国家统计局社科文司《中国创新指数研究》课题组测算[1],2018年中国创新指数首次突破200,达到212.0(以2005年为100),比上年增长8.6%,较2005年实现翻番。分领域看,创新环境指数、创新投入指数、创新产出指数和创新成效指数比上年均呈现不同程度的增长。测算结果表明,2018年,我国创新环境持续优化,创新投入不断加大,创新成效逐步显现,科技实力和创新能力再上新台阶。
(一)创新环境指数。2018年我国创新环境指数为225.8,比上年增长10.9%,增速较上年加快0.5个百分点。该领域5个评价指标指数全部实现增长,其中享受加计扣除减免税企业所占比重指数大幅提升,增速达到42.9%,已连续多年保持两位数增长速度;科技拨款占财政拨款的比重指数继续保持回升态势,增长4.4%。
(二)创新投入指数。2018年创新投入指数为194.1,比上年增长6.0%,增速较上年回落0.3个百分点。该领域的6个评价指标指数全部实现增长,其中R&D经费占主营业务收入比重指数增长较快,增速为12.0%;每万人R&D人员全时当量指数和基础研究人员人均经费指数均实现稳步提升,增速分别为8.2%和6.3%。
(三)创新产出指数。2018年创新产出指数达264.1,比上年增长11.7%,增速较上年加快5.8个百分点,在四个分领域中居第一位。该领域的5个评价指标指数四升一降,其中每万名R&D人员专利授权数指数和每万名科技活动人员技术市场成交额指数均突破400,分别达到423.9和419.3,在全部评价指标指数中继续领跑;每百家企业商标拥有量指数增长33.0%,增速较上年进一步加快;发明专利授权数占专利授权数的比重指数下降22.0%,是全部评价指标指数中唯一出现下降的指标。
(四)创新成效指数。2018年我国创新成效指数为164.1,比上年增长4.0%,增速较上年加快2.2个百分点。5个评价指标指数全部实现增长,人均主营业务收入和新产品销售收入占主营业务收入的比重指数增长较快,增速分别为8.9%和6.5%;高技术产品出口额占货物出口额的比重指数小幅增长0.8%,增速有所回落。


注[1]:因国内生产总值(GDP)等指标根据例行统计制度开展了历史数据修订,中国创新指数历史测算结果作相应调整。
附件:中国创新指标体系及指数编制方法
一、中国创新指标体系
中国创新指标体系分成三个层次。第一个层次用以反映我国创新总体发展情况,通过计算创新总指数实现;第二个层次用以反映我国在创新环境、创新投入、创新产出和创新成效等4个领域的发展情况,通过计算分领域指数实现;第三个层次用以反映构成创新能力各方面的具体发展情况,通过上述4个领域所选取的21个评价指标实现(指标体系框架详见附表)。4个领域及21个评价指标的简要说明如下:
(一)创新环境
该领域主要反映驱动创新能力发展所必备的人力、财力等基础条件的支撑情况,以及政策环境对创新的引导和扶持力度,共设5个评价指标。
1.劳动力中大专及以上学历人数
该指标用以反映我国劳动力综合素质情况。劳动力是指年龄在16岁及以上,有劳动能力,参加或要求参加社会经济活动的人口。2015年及之前年份该指标名称为经济活动人口中大专及以上学历人数。
2.人均GDP
这是反映一个国家经济实力的最具代表性的指标,可以反映经济增长与创新能力发展之间相互依存、相互促进的关系。
3.理工科毕业生占适龄人口比重
该指标反映我国潜在创新人力资源情况。理工科毕业生指本科及以上理工农医类毕业生人数,适龄人口是指我国20-34岁人口数。
4.科技拨款占财政拨款的比重
政府财政科技拨款对全社会创新投入和创新活动的开展具有带动和导向作用,该指标反映政府对创新的直接投入力度以及对重点、关键和前沿领域的规划和引导作用。
5.享受加计扣除减免税企业所占比重
企业研发费用税前加计扣除政策被认为是鼓励企业加大研发投入、开展创新活动的最为直接和有利的扶植政策之一。该指标可以反映政府有关政策的落实情况,进而从一个侧面反映企业创新环境情况。受数据来源限制,该指标的数据口径为大中型工业企业。
(二)创新投入
该领域通过创新的人力财力投入情况、企业创新主体中发挥关键作用的部门(即研发机构)建设情况以及创新主体的合作情况来反映国家创新体系中各主体的作用和关系。由于缺乏创新的人力和财力投入指标且研发是当前我国创新的最重要环节,因此这里的投入指标用研发投入指标代替。该领域共设6个指标。
1.每万人R&D人员全时当量
指按常住全部人口平均计算的R&D人员全时当量。该指标反映自主创新人力的投入规模和强度。R&D人员包括企业、科研机构、高等学校的R&D人员,是全社会各种创新主体的R&D人力投入合力。R&D人员全时当量是指按工作量折合计算的R&D人员。
2.R&D经费占GDP比重
该指标又称R&D投入强度,是国际上通用的、反映国家或地区科技投入水平的核心指标,也是我国中长期科技发展规划纲要中的重要评价指标。
3.基础研究人员人均经费
指按基础研究人员全时当量平均的基础研究经费。基础研究是科学技术发展的根基,其水平在一定程度上可以代表一个国家原始创新能力。本指标体系以该指标来反映国家在加强原始创新能力上所作的努力。
4.R&D经费占主营业务收入比重
企业是创新活动的主体,而工业企业又在企业创新活动中占有主导地位。该指标反映创新活动主体的经费投入情况。受数据来源限制,该指标的数据口径为有R&D活动的大中型工业企业。
5.有研发机构的企业所占比重
企业办研发机构是企业开展R&D活动的专门机构,是企业持续、稳定开展创新活动的重要保障。该指标从一个侧面反映企业持续开展创新活动的能力。受数据来源限制,该指标的数据口径为大中型工业企业。
6.开展产学研合作的企业所占比重
该指标是反映产学研合作的重要指标。本指标体系通过产学研合作来反映我国各创新主体间的合作情况。受数据来源限制,该指标的数据口径为大中型工业企业。
(三)创新产出
该领域通过论文、专利、商标、技术成果成交额反映创新中间产出结果。该领域共设5个指标。
1.每万人科技论文数
科技论文是指企事业单位立项的由科技项目产生的、并在有正规刊号的刊物上发表的学术论文,科技论文是创新活动中间产出的重要成果形式之一。该指标反映研发活动的产出水平和效率。
2.每万名R&D人员专利授权数
指按R&D人员全时当量平均的专利授权数量。本指标体系中的专利授权数指国内专利授权数,专利授权数是创新活动中间产出的又一重要成果形式。该指标也是反映研发活动的产出水平和效率的重要指标。
3.发明专利授权数占专利授权数的比重
发明专利在三种专利中的技术含量最高,能够体现专利的水平,也体现了研发成果的市场价值和竞争力,本指标体系中的发明专利授权数指国内发明专利授权数。该指标是反映专利质量的关键指标。
4.每百家企业商标拥有量
商标拥有量指企业拥有的在国内外知识产权部门注册的受知识产权法保护的商标数量。该指标在一定程度上反映企业自主品牌拥有情况和自主品牌的经营能力。受数据来源限制,该指标的数据口径为大中型工业企业。
5.每万名科技活动人员技术市场成交额
指按每万名科技活动人员平均的技术市场成交金额。该指标反映技术转移和科技成果转化的总体规模。技术市场成交额指全国技术市场合同成交项目的总金额。
(四)创新成效
该领域通过产品结构调整、产业国际竞争力、节约能源、经济增长等方面,反映创新对经济社会发展的影响。该领域共设5个指标。
1.新产品销售收入占主营业务收入的比重
新产品销售收入是反映企业创新成果,即将新产品成功推向市场的指标。该指标用于反映创新对产品结构调整的效果。受数据来源限制,该指标的数据口径为大中型工业企业。
2.高技术产品出口占货物出口额的比重
高技术产业与创新具有互动关系。该指标通过高技术产品出口的变化情况,反映创新对产业国际竞争力的影响效果。该指标的数据口径为规模以上工业企业。
3.单位GDP能耗
指每产出万元国内生产总值(GDP)所消耗的以标准煤计算的能源。节约能源是企业技术创新的目的之一,创新是节约能源的途径和保障,对节约能源起决定性因素。该指标反映创新对降低能耗的效果。
4.人均主营业务收入
指一定时期内工业企业主营业务收入与平均用工人数之比,用以反映生产效率。创新是影响生产效率的重要因素,提高生产效率是企业创新的目的之一。该指标反映创新对工业经济发展的促进作用,数据口径为规模以上工业企业。
5.科技进步贡献率
指广义技术进步对经济增长的贡献份额,即扣除了资本和劳动之外的其他因素对经济增长的贡献。该指标数据来源于有关部门开展的科技进步贡献率评价的测算结果,是衡量科技竞争实力和科技转化为现实生产力的综合性指标。本指标体系中该指标使用的是报告期及之前4年间的平均水平,用以反映创新对国民经济发展的促进效果。
二、中国创新指数编制方法
(一)确定指标权重
在比较国内外赋权方法优劣的基础上,本课题采用“逐级等权法”进行权数的分配,即各领域的权数均为1/4;在某一领域内,指标对所属领域的权重为1/n(n为该领域下指标的个数);因此,指标最终权数为1/4n。各指标的权数详见附表。
(二)计算指标增速
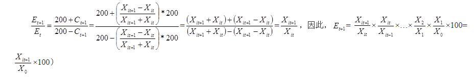
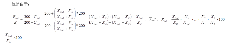
通常指标的增速或发展速度是以基期年份指标值作为基准进行比较的。在某一指标体系中,如果按照通常方法计算各指标的增速后进行加权平均,由于可能存在某些指标增速过高(或过低)的情况,这样就会造成指标增速之间不可比(即增速过高或过低的一些指标的作用掩盖了其他指标的作用),从而造成整个指标体系失真的现象。因此,必须采用对指标体系中各指标增速的范围进行控制的方法。一种较好的方法是将指标增速的基准值设定为该指标的两年平均值,这样计算出来的各指标增速的范围可以控制在[-200,200]的区间内。
本指标体系中,除“万元GDP能耗”是逆指标之外,其余20个指标都是正指标。逆指标取倒数后再计算指标增速。
各指标相邻年份的增长速度计算方法为:

(三)合成分领域指数和总指数
指数合成方法分为以下三个步骤:
1.计算各领域所辖指标的加权增速:

2.计算定基累计发展各领域分指数:

(在计算指标体系中的某一个指标的定基发展速度时,如采用这一方法,其结果与通常方法一致,即指标当年的定基发展速度等于该指标上年的定基发展速度与当年发展速度的乘积除以100,当年的定基发展速度等于指标当年值乘以100与基期值之比。

3.计算定基累计发展总指数:

附表

来源:统计局网站