

近日
记者从云南省公安厅交警总队获悉
2019年9月
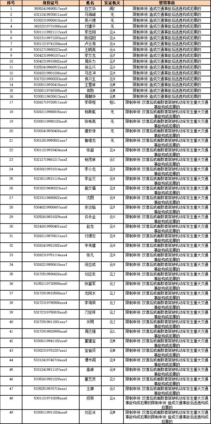
全省共有49人受到终生禁驾的严厉处罚
其中
因交通事故逃逸后构成犯罪
被终生禁驾的16人,占比32.65%
因饮酒后或者醉酒驾驶机动车
发生重大交通事故构成犯罪
被终生禁驾的33人,占比67.35%。
为严防重特大道路交通事故的发生,全力维护道路交通安全形势持续平稳,云南省交警总队持续推进“五大曝光”行动,以加强交通安全宣传教育和警示提醒,震慑交通违法行为,全力维护道路交通安全形势持续平稳。
云南省籍违法突出企业及车辆严重交通违法情况
超速违法情况:
9月份,全省共查处本省籍“两客一危”车辆超速违法102起,其中,公路客运车辆62起,旅游客运车辆29起,危化品运输车辆11起,共涉及51家道路运输企业,其中,超速违法行为2起以上的运输企业有24家,超速违法行为5起以上的重点道路运输企业有4家,如下表所示:

营运客车超员违法情况:
9月份,全省共查处本省籍客运车辆超员违法133起,涉及68家道路客运企业,其中,公路客运车辆132起,涉及67家公路客运企业;旅游客运车辆1起,涉及1家旅游客运企业。超员违法行为2起以上的重点道路客运企业有30家,如下表所示:

外省籍“两客一危”车辆交通违法情况:
9月份,全省共查处外省籍“两客一危”车辆交通违法1006起,涉及282家外省籍“两客一危”道路运输企业,其中,公路客运车辆34起,涉及31家外省籍公路客运企业;旅游客运车辆12起,涉及11家外省籍旅游客运企业;危化 品运输车辆960起,涉及240家外省籍危化品运输企业。交通违法较为突出的外省籍“两客一危”道路运输企业如下表所示:

9月49人被终生禁驾:
同时,云南交警总队公布一批9月份终生禁驾人员名单共计49人。

来源:春城晚报、云南交警

加油特价房专栏 租房热线:132387251161、金贝小区,精装修,三室二厅一厨一卫,面积106平方,租金1800元/月,年租。拎包入住
2、泰安新城E-801面积:120平米; 装修:初等装修; 家具家电:无户型:3室2厅2卫 价格:2500元/月 付款:年付
3、森工局宿舍 面积80平米,两室一厅,精装修,带全套家具家电,价格1500元/元 付款 年付
4、银信苑小区面积123平米,三室两厅两卫,精装修,带全套家具,价格2000元/月,付款:年付
5、耀鹏明珠 5-416 面积37平, 装修:精装 家具家电:无 房型:1室1厅1卫 价格:900元/月 付款:年付。
更多房源请点击加油特价房查看,这个月内租房免费租半个月哦

往期精彩
1、大理又一家大型实体店即将改造,澳霖家纺城关门前清货,全场床品一口价处理!
2、来了来了,您要的招聘会企业名录在此!!



云报加油报大理全媒体矩阵 商务合作热线:13238725116